pinkandtrash.com
HOME
About
Contact
Disclaimer
Privacy
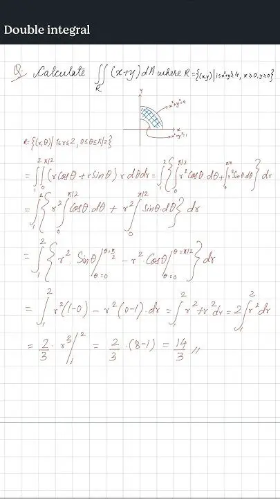
Calculating the Double Integral
Oct 13, 2025
by pinkandtrash.com
103
views