pinkandtrash.com
HOME
About
Contact
Disclaimer
Privacy
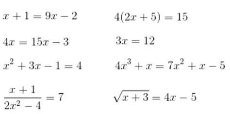
Check if the equations are equivalent
Oct 13, 2025
by pinkandtrash.com
124
views