pinkandtrash.com
HOME
About
Contact
Disclaimer
Privacy
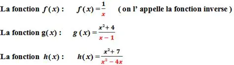
Exemples de Fonctions Rationnelles
Oct 13, 2025
by pinkandtrash.com
10
views