pinkandtrash.com
HOME
About
Contact
Disclaimer
Privacy
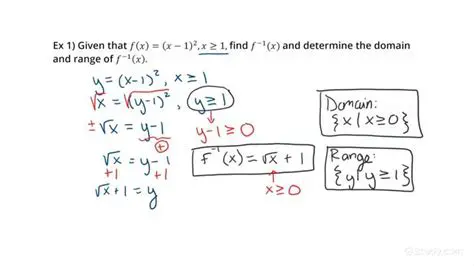
Finding the Domain and Range of the Inverse
Oct 13, 2025
by pinkandtrash.com
48
views