pinkandtrash.com
HOME
About
Contact
Disclaimer
Privacy
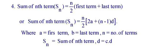
Formula to Find the nth Term of an AP
Oct 13, 2025
by pinkandtrash.com
19
views