pinkandtrash.com
HOME
About
Contact
Disclaimer
Privacy
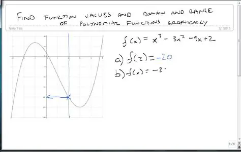
Function Values and Interpretation
Oct 13, 2025
by pinkandtrash.com
13
views