pinkandtrash.com
HOME
About
Contact
Disclaimer
Privacy
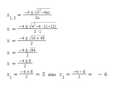
Mencari Nilai x dengan Menggunakan Faktor
Oct 13, 2025
by pinkandtrash.com
44
views