pinkandtrash.com
HOME
About
Contact
Disclaimer
Privacy
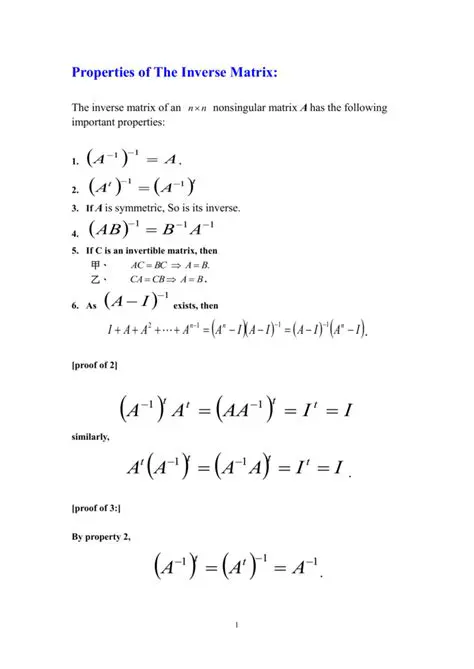
Properties of the Inverse Matrix
Oct 13, 2025
by pinkandtrash.com
140
views