pinkandtrash.com
HOME
About
Contact
Disclaimer
Privacy
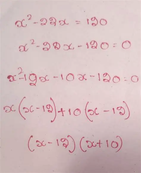
Subtracting 120 from Both Sides
Oct 13, 2025
by pinkandtrash.com
18
views