pinkandtrash.com
HOME
About
Contact
Disclaimer
Privacy
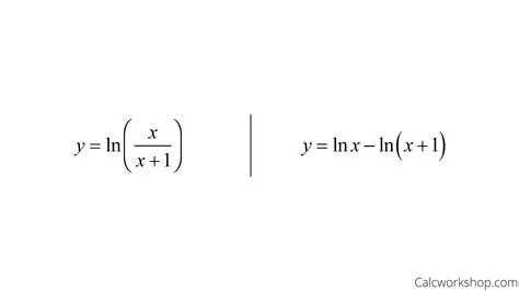
Taking the Natural Logarithm
Oct 13, 2025
by pinkandtrash.com
128
views