pinkandtrash.com
HOME
About
Contact
Disclaimer
Privacy
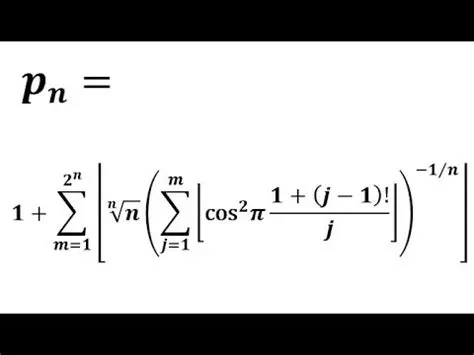
The Most Canonical Symbol for the nth Prime
Oct 13, 2025
by pinkandtrash.com
144
views